S'abonner à un site qui n'affiche ni pub ni articles "sponsorisés", ne vend pas vos emails ou vos profils n’est pas une option, c’est la seule solution pour que demain il existe encore ! Soutenez MedShake, abonnez-vous ou faites un don ! [message masqué aux abonnés]

Annales QCM du concours d'internat en pharmacie 2025

Stats MedShake

Statistiques de réalisation sur MedShake :

  • Réalisation : 5 fois
  • Moyenne : 72.68 pts
  • Médiane : 73.00 pts
  • Note maximale : 106.80 pts

Répartition des QCM par disciplines :

Annale

Question n°1 - Réponse simple
Parmi les affirmations suivantes concernant la lévodopa, une seule est fausse. Laquelle ?
  1. A - C’est un acide aminé de la série L
  2. B - Elle possède un pouvoir rotatoire
  3. C - Elle possède deux fonctions phénol
  4. D - C’est un acide aminé essentiel
  5. E - Elle peut être décarboxylée en dopamine
Question n°2 - Réponse simple
Parmi les propositions suivantes se rapportant aux spécificités allotypiques des immunoglobulines, quelle est celle qui est exacte ?
  1. A - Elles sont identiques chez deux jumeaux hétérozygotes
  2. B - Elles sont partagées par un groupe d’individus au sein de l’espèce
  3. C - Elles confèrent des propriétés biologiques particulières à une classe d'Immunoglobuline
  4. D - Elles sont portées par les chaînes légères lambda
  5. E - Elles sont portées par les chaînes lourdes mu
Question n°3 - Réponse simple
Parmi les effets indésirables suivants, lequel n’est pas provoqué par le captopril ?
  1. A - Toux
  2. B - Dysgueusie
  3. C - Hypotension orthostatique
  4. D - Hypokaliémie
  5. E - Angicedéme
Question n°4 - Réponse simple
Parmi les bactéries suivantes, laquelle ne présente pas de résistance acquise à l'amoxicilline par production de béta-lactamase ?
  1. A - Staphylococcus aureus
  2. B - Streptococcus pneumoniae
  3. C - Haemophilus influenzae
  4. D - Escherichia coli
  5. E - Neisseria gonorrhoeae
Question n°5 - Réponse simple
Parmi les parasitoses suivantes, laquelle n’est pas une indication de traitement par l’albendazole ?
  1. A - Kyste hydatique
  2. B - Anguillulose
  3. C - Oxyurose
  4. D - Bilharziose
  5. E - Giardiose
Question n°6 - Réponse simple
Parmi les propositions suivantes concernant la spectroscopie atomique, laquelle est fausse ?
  1. A - Les niveaux d’énergie sont quantifiés
  2. B - L'ensemble des transitions entre les niveaux fondamentaux et excités constitue le spectre atomique
  3. C - La répartition des atomes entre les niveaux excités et fondamentaux est donnée par la loi de Boltzman
  4. D - Après excitation, le nombre d’atomes à l’état excité est supérieur à celui resté à l'état fondamental
  5. E - La raie la plus intense du spectre d’émission est appelée raie de résonance
Question n°7 - Réponse simple
Concernant la mise sur le marché d’un nouveau médicament qui prolonge la vie des personnes atteintes d’une maladie M, quelle est la proposition exacte ?
  1. A - Ce nouveau traitement va entraîner la diminution de l’incidence de la maladie M
  2. B - Ce nouveau traitement va entraîner une diminution de l’incidence et de la prévalence de la maladie M
  3. C - Ce nouveau traitement va entraîner une augmentation de l’incidence de la maladie M
  4. D - Ce nouveau traitement va entraîner une augmentation de la prévalence de la maladie M
  5. E - Ce nouveau traitement va entrainer une diminution de la prévalence de la maladie M
Question n°8 - Réponse simple
Parmi les propositions suivantes concernant le trajet des rayonnements ionisants dans la matière, quelle est celle qui est exacte ?
  1. A - Le dépôt d’énergie dans la matière est homogène sur tout le parcours d’une particule β- (bêta moins)
  2. B - Les particules α (alpha) sont des rayonnements très pénétrants
  3. C - Les rayonnements γ (gamma) d’énergie 140 keV interagissent majoritairement par effet photoélectrique dans le plomb (Z = 82)
  4. D - Les rayonnements β+ (bêta plus) interagissent par effet Compton dans l’eau intracellulaire
  5. E - Les rayons X interagissent par rayonnement de freinage dans le plomb (Z = 82)
Question n°9 - Réponse simple
Parmi les propositions suivantes concernant le rendement d’extraction liquide/liquide d’un médicament basique (pKa = 8,0) en solution aqueuse, laquelle est exacte ? Le rendement sera maximal
  1. A - Pour pH ≤ 6,0
  2. B - Pour pH = 8,0
  3. C - Pour pH ≥ 10,0
  4. D - Pour 6,0 < pH < 10,0
  5. E - Quel que soit le pH du milieu
Question n°10 - Réponse simple
Parmi les propositions suivantes concernant les effets ou troubles observés lors d’une intoxication à la chloroquine, laquelle est exacte ?
  1. A - Effet stabilisant de membrane
  2. B - Effet inotrope positif
  3. C - Effet vasoconstricteur
  4. D - Hyperkaliémie
  5. E - Bradycardie
Question n°11 - Réponse multiple
Parmi les propositions suivantes, laquelle (lesquelles) est (sont) exacte(s) ? La chromatographie liquide haute performance à polarité de phases inversée met en œuvre
  1. A - Une phase stationnaire apolaire
  2. B - Une rétention des analytes augmentée lorsque la proportion d’acétonitrile dans la phase mobile diminue
  3. C - Un mécanisme de séparation en fonction de la taille des analytes
  4. D - Un phénomène de partage
  5. E - Une rétention accrue des analytes les plus polaires
Question n°12 - Réponse multiple
Parmi les propositions suivantes concernant l’hémoglobine, laquelle (lesquelles) est (sont) exacte(s) ?
  1. A - Elle est synthétisée par les érythroblastes
  2. B - Elle a une structure tétramérique
  3. C - Une molécule d'hémoglobine a une capacité de transport de 4 molécules de dioxygène
  4. D - Chaque molécule d’hème contient un atome de fer à I'état ferrique
  5. E - Elle est dégradée en bilirubine
Question n°13 - Réponse multiple
Parmi les antibiotiques suivants, lequel (lesquels) est (sont) éliminé(s) majoritairement par voie urinaire ?
  1. A - Josamycine
  2. B - Pristinamycine
  3. C - Amoxicilline
  4. D - Ofloxacine
  5. E - Gentamicine
Question n°14 - Réponse multiple
Parmi les affirmations concernant les comprimés à libération prolongée, laquelle (lesquelles) est (sont) exacte(s) ?
  1. A - Ce sont des comprimés gastro-résistants
  2. B - Ce sont des comprimés nus
  3. C - ls libérent leur principe actif en fonction du pH du tractus digestif
  4. D - lls peuvent diminuer les effets indésirables du médicament
  5. E - Is sont préparés à partir de principes actifs à demi-vie longue
Question n°15 - Réponse multiple
Parmi les propositions suivantes relatives à la diffusion passive d’un médicament à travers les membranes, laquelle (lesquelles) est (sont) exacte(s) ?
  1. A - Elle est facilitée par une masse moléculaire faible
  2. B - Elle concerne la forme ionisée du médicament
  3. C - Elle s’effectue contre un gradient de concentration
  4. D - Elle est diminuée si la molécule est liposoluble
  5. E - Elle s’effectue sans consommation d’énergie
Question n°16 - Réponse multiple
Parmi les propositions suivantes concernant le cholestérol, laquellle (lesquelles) est (sont) exacte(s) ?
  1. A - ll est à l’origine de la formation des pigments biliaires
  2. B - Il est reconnu par les récepteurs des LDL
  3. C - Il est le constituant principal des chylomicrons
  4. D - Il est le précurseur des hormones stéroïdiennes
  5. E - Il est éliminé par la bile
Question n°17 - Réponse multiple
Concernant une hypertriglycéridémie à 3,0 mmol/L (2,62 g/L), quelle(s) est (sont) la (les) proposition(s) exacte(s) ?
  1. A - Elle peut être liée à la prise chronique d’éthanol
  2. B - Elle entraîne une opalescence du sérum
  3. C - Elle peut être associée au diabète insipide
  4. D - Elle peut être à l’origine d’une pancréatite aiguë
  5. E - Elle ne permet pas le calcul du cholestérol-LDL par la formule de Friedewald
Question n°18 - Réponse multiple
Parmi les tests suivants, lequel (lesquels) permet (permettent) l’exploration de l’immunité cellulaire ?
  1. A - Le dosage du complément hémolytique total (CH50)
  2. B - La numération et le phénotypage lymphocytaires
  3. C - Les tests IGRA (Interferon Gamma Release Assay)
  4. D - Le dosage des immunoglobulines sériques
  5. E - La réponse proliférative des lymphocytes à la stimulation par un antigène
Question n°19 - Réponse multiple
Parmi les propositions suivantes concernant la terbutaline, laquelle (lesquelles) est (sont) exacte(s) ?
  1. A - C’est une prodrogue
  2. B - Elle a des propriétés anticholinergiques
  3. C - Elle peut provoquer des tremblements des extrémités
  4. D - Elle nécessite un rinçage de la bouche après inhalation
  5. E - C’est un bronchodilatateur à action rapide
Question n°20 - Réponse multiple
Parmi les médicaments suivants, lequel (lesquels) est (sont) un (des) antidépresseur(s) tricyclique(s) ?
  1. A - Fluoxétine
  2. B - Amitriptyline
  3. C - Mirtazapine
  4. D - Clomipramine
  5. E - Sertraline
Question n°21 - Réponse multiple
Parmi les propositions suivantes concernant les héparines de bas poids moléculaire (HBPM), laquelle (lesquelles) est (sont) exacte(s) ?
  1. A - Les HBPM ont une demi-vie plus longue que l’héparine non fractionnée
  2. B - Les HBPM peuvent être responsables de thrombopénies allo-immunes
  3. C - La surveillance de l’activité des HBPM nécessite un prélèvement 12 h après l’injection
  4. D - La surveillance d’un traitement curatif par HBPM nécessite la mesure du temps de céphaline avec activateur
  5. E - Les HBPM peuvent s'accumuler dans le plasma en cas d'insuffisance rénale
Question n°22 - Réponse multiple
Parmi les propositions suivantes concernant exacte(s) ? Haemophilus influenzae, laquelle (lesquelles) est (sont)
  1. A - Il peut être responsable de méningites
  2. B - Il peut étre cultivé sur gélose ordinaire
  3. C - Il peut produire une pénicillinase
  4. D - Il peut provoquer des épiglottites
  5. E - Certaines souches sont capsulées
Question n°23 - Réponse multiple
Quelle(s) est (sont) la (les) complication(s) habituelle(s) que l’on peut rencontrer au cours d’un myélome ?
  1. A - Insuffisance rénale
  2. B - Hypercalcémie
  3. C - Anémie microcytaire
  4. D - Ictère hémolytique
  5. E - Infections
Question n°24 - Réponse multiple
Parmi les propositions suivantes, laquelle (lesquelles) est (sont) une (des) forme(s) endocellulaire(s) de Toxoplasma gondii rencontrée(s) chez l'Homme ?
  1. A - Tachyzoite
  2. B - Hypnozoite
  3. C - Oocyste
  4. D - Bradyzoite
  5. E - Gamète
Question n°25 - Réponse multiple
Parmi les propositions suivantes concernant l’épidémiologie des infections à cytomégalovirus, laquelle (lesquelles) est (sont) exacte(s) ?
  1. A - Le réservoir du virus est strictement humain
  2. B - La transmission peut se faire par la salive
  3. C - La transmission peut se faire par voie sexuelle
  4. D - La transmission peut se faire par transfusion sanguine
  5. E - La séroprévalence est indépendante du niveau socio-économique de la population
Question n°26 - Réponse multiple
Parmi les toxines suivantes, quelles sont celles qui peuvent être produites par Staphylococcus aureus ?
  1. A - Entérotoxine
  2. B - Vérotoxine
  3. C - Toxine érythrogène
  4. D - Exfoliatine
  5. E - Toxine du syndrome de choc toxique
Question n°27 - Réponse multiple
Parmi les propositions suivantes concernant les bactériémies à point de départ urinaire, laquelle (lesquelles) est (sont) exacte(s) ?
  1. A - Elles sont principalement dues à des entérobactéries
  2. B - Leur diagnostic bactériologique nécessite de pratiquer des hémocultures
  3. C - Elles s’accompagnent habituellement de fièvre
  4. D - Elles sont la conséquence d’une pyélonéphrite
  5. E - Une hyperleucocytose est souvent associée
Question n°28 - Réponse multiple
Parmi les diurétiques suivants, lequel (lesquels) a (ont) une action natriurétique située principalement au niveau du tube contourné distal ?
  1. A - Furosémide
  2. B - Spironolactone
  3. C - Canrénoate de sodium
  4. D - Amiloride
  5. E - Acétazolamide
Question n°29 - Réponse multiple
Parmi les propositions suivantes concernant les molécules de classe Il du CMH (Complexe d’Histocompatibilité), laquelle (lesquelles) est (sont) exacte(s) ?
  1. A - Elles sont formées d’une chaîne polypeptidique alpha et d’une chaîne polypeptidique bêta
  2. B - Elles existent sous forme membranaire
  3. C - Elles sont exprimées de façon constitutive dans la majorité des tissus
  4. D - Elles sont représentées par les molécules HLA-A, B et C
  5. E - Elles ont pour ligand physiologique la molécule LFA-1
Question n°30 - Réponse multiple
Parmi les propositions suivantes, laquelle (lesquelles) est (sont) exacte(s) ? Une insuffisance hépatocellulaire sévère se manifeste au plan biologique par
  1. A - Une diminution de la transferrine désialylée
  2. B - Une hyperalbuminémie
  3. C - Un allongement du temps de Quick
  4. D - Une baisse de l’activité plasmatique du facteur V
  5. E - Une baisse de l’ammoniémie
Question n°31 - Réponse multiple
Parmi les propositions suivantes, laquelle (lesquelles) est (sont) exacte(s) ? La présence des corps cétoniques urinaires est une des caractéristiques
  1. A - Du diabéte de type 1 non équilibré
  2. B - Du coma hypoglycémique
  3. C - Du coma hyperosmolaire
  4. D - Du jeûne prolongé
  5. E - Du diabète insipide
Question n°32 - Réponse multiple
Concernant le choc anaphylactique, quelles sont les propositions exactes ?
  1. A - Il est précédé par des signes annonciateurs de type œdème angioneurotique
  2. B - Il peut être provoqué par l'administration de curares
  3. C - Il peut mettre en jeu un mécanisme d’hypersensibilité due à des IgE
  4. D - Il est dû à la libération massive d’interleukine 4
  5. E - Il justifie l’administration d’adrénaline Majeur
Question n°33 - Réponse multiple
Parmi les examens biologiques suivants, lequel (lesquels) est (sont) utile(s) au diagnostic d’une polyarthrite rhumatoïde ?
  1. A - La numération des lymphocytes T
  2. B - La recherche des anticorps dirigés contre des protéines citrullinées
  3. C - La recherche des anticorps anti-ADN natif (double brin)
  4. D - Le dosage de la protéine C-réactive (CRP)
  5. E - La recherche des anticorps dirigés contre le cytomégalovirus
Question n°34 - Réponse multiple
Parmi les micro-organismes suivants, lequel (lesquels) peut (peuvent) être transmis de la mère à l’enfant au cours de la grossesse ou de I'accouchement ?
  1. A - Cytomegalovirus
  2. B - Streptococcus agalactiae
  3. C - Haemophilus influenzae
  4. D - Helicobacter pylori
  5. E - Virus de l'immunodéficience humaine
Question n°35 - Réponse multiple
Parmi les propositions suivantes concernant le basiliximab, laquelle (lesquelles) est (sont) exacte(s) ?
  1. A - C’est un anticorps monoclonal humanisé
  2. B - Il est dirigé contre le récepteur CD25 de l'interleukine 2
  3. C - Il doit être utilisé en association avec un autre traitement immunosuppresseur
  4. D - Il est contre-indiqué chez la femme enceinte
  5. E - ll est utilisé dans le traitement curatif du rejet aigu de greffe d’organes
Question n°36 - Réponse multiple
Parmi les propositions suivantes concernant les interférons béta, laquelle (lesquelles) est (sont) exacte(s) ?
  1. A - lls sont indiqués dans le traitement de la sclérose en plaques
  2. B - La pégylation modifie leur demi-vie d’élimination
  3. C - Ils peuvent être administrés par voie intramusculaire
  4. D - Îls modulent les récepteurs de la sphingosine-1-phosphate
  5. E - L'administration de paracétamol permet de prévenir le syndrome pseudogrippal dont ils sont responsables
Question n°37 - Réponse multiple
Parmi les propositions suivantes concernant les Agences Régionales de Santé (ARS), lesquelles sont exactes ?
  1. A - Elles fixent la liste des médicaments utilisables dans les établissements de santé
  2. B - Elles mettent en œuvre la procédure de certification des établissements de santé
  3. C - Leurs missions couvrent les soins de ville
  4. D - Elles coordonnent le réseau régional de vigilances et d’appui
  5. E - Elles concluent des contrats pluriannuels d’objectifs et de moyens seulement avec les établissements publics de santé
Question n°38 - Réponse multiple
Parmi les propositions suivantes concernant l’ensemble des anti-inflammatoires non stéroidiens, laquelle (lesquelles) est (sont) exacte(s) ?
  1. A - IIs sont fortement liés aux protéines plasmatiques
  2. B - lls ont une toxicité rénale
  3. C - Ils doivent être utilisés avec prudence si associés au rivaroxaban
  4. D - lls sont contre-indiqués en cas d’insuffisance cardiaque sévère non contrôlée
  5. E - lls diminuent l’action antihypertensive des inhibiteurs de l’enzyme de conversion (IEC)
Question n°39 - Réponse multiple
Parmi les propositions suivantes concernant le trou anionique plasmatique, laquelle (lesquelles) est (sont) exacte(s) ?
  1. A - Il est augmenté en cas d’acidocétose diabétique
  2. B - Il est augmenté en cas de diarrhées chroniques
  3. C - Il peut être mesuré par cryoscopie
  4. D - Il est augmenté en cas d’acidose lactique
  5. E - Son augmentation s'accompagne d’une hyperchlorurémie
Question n°40 - Réponse multiple
Parmi les propositions suivantes concernant la lévothyroxine, laquelle (lesquelles) est (sont) exacte(s) ?
  1. A - C’est un dérivé tri-iodé
  2. B - Elle est indiquée dans le traitement de l’hypothyroïdie
  3. C - Elle a une demi-vie plasmatique inférieure à 24 heures
  4. D - Elle augmente l’effet anticoagulant des AVK
  5. E - Elle expose à un risque de tachycardie
Question n°41 - Réponse multiple
Parmi les propositions suivantes concernant le métabolisme du fer, laquelle (lesquelles) est (sont) exacte(s) ?
  1. A - La concentration en fer sérique reflète le niveau des réserves en fer de l’organisme
  2. B - L’hepcidine diminue I'absorption intestinale du fer
  3. C - La ferritinémie est augmentée dans les syndromes inflammatoires
  4. D - La transferrinémie est augmentée dans les carences martiales
  5. E - L’absorption intestinale du fer ferreux est meilleure que celle du fer ferrique
Question n°42 - Réponse multiple
Parmi les propositions suivantes concernant les poudres de principes actifs, laquelle (lesquelles) est (sont) exacte(s) ?
  1. A - L’homogénéité d’un mélange de poudres peut être influencée par des masses volumiques différentes
  2. B - Lamorphologie etla granulométrie particulaires déterminentle comportement d’écoulement des poudres
  3. C - La distribution granulométrique d’une poudre peut être analysée par diffraction laser
  4. D - Il est possible de préparer 100 gélules de taille n°4 (volume 0,21 mL) dosées à 1,5 g d’un principe actif dont la masse volumique est de 0,5 g/cm3
  5. E - La surface spécifique d’une poudre influence la vitesse de dissolution
Question n°43 - Réponse multiple
Parmi les propositions suivantes, lesquelles sont exactes ? Un médicament dont la prescription est réservée à certains médecins spécialistes
  1. A - Doit systématiquement être prescrit sur une ordonnance de médicament d’exception
  2. B - Peut être dispensé à la fois par le circuit hospitalier et le circuit officinal
  3. C - Doit nécessairement être inscrit sur la liste en sus (financement hors GHS)
  4. D - Peut être un médicament à prescription initiale hospitalière
  5. E - Peut être classé ainsi au seul motif d’un prix élevé
Question n°44 - Réponse multiple
Parmi les formules chromosomiques suivantes, laquelle (lesquelles) est (sont) susceptible(s) de représenter une anomalie de structure ?
  1. A - 45, X, 46, XX, 47, XXX
  2. B - 46, XX, del(1)(q21)
  3. C - 46, XY, t(1;12)(q25;q22)
  4. D - 47, XY, +21
  5. E - 46, XY, inv(9)(q21.1;q32)
Question n°45 - Réponse multiple
Parmi les propositions suivantes, laquelle (lesquelles) est (sont) exacte(s) ? Une hyperkaliémie peut être la conséquence
  1. A - D’une hémolyse intravasculaire
  2. B - D’une alcalose métabolique
  3. C - D’une insuffisance rénale chronique sévère
  4. D - D’une rhabdomyolyse
  5. E - D'un traitement par IEC (inhibiteur de l’enzyme de conversion)
Question n°46 - Réponse multiple
Parmi les propositions suivantes concernant les phénothiazines, laquelle (lesquelles) est (sont) exacte(s) ?
  1. A - Elles ont des propriétés anticholinergiques
  2. B - Les thioxanthènes sont structuralement très proches des dérivés phénothiaziniques
  3. C - Ce sont des antagonistes dopaminergiques D2
  4. D - Ce sont des molécules photosensibilisantes
  5. E - Elles peuvent provoquer des dyslipidémies
Question n°47 - Réponse multiple
Parmi les propositions suivantes concernant les anticorps irréguliers, laquelle (lesquelles) est (sont) exacte(s) ?
  1. A - Ce sont des IgM
  2. B - lls sont mis en évidence par la technique du test indirect à l’antiglobuline (test de Coombs indirect)
  3. C - lls peuvent apparaitre lors d’une grossesse
  4. D - Îls sont liés à la diversité des systèmes antigéniques érythrocytaires
  5. E - lls peuvent être responsables d’accidents transfusionnels
Question n°48 - Réponse multiple
Parmi les propositions suivantes concernant les anticorps monoclonaux dirigés contre le TNF-alpha et utilisés en thérapeutique, laquelle (lesquelles) est (sont) exacte(s) ?
  1. A - lls sont administrés par voie orale
  2. B - lls sont indiqués dans le traitement de la polyarthrite rhumatoide
  3. C - IIs sont contre-indiqués en association avec le méthotrexate
  4. D - Leur utilisation implique de rechercher en amont une infection tuberculeuse latente
  5. E - lls peuvent induire l’apparition d’anticorps neutralisant leur effet
Question n°49 - Réponse multiple
Parmi les propositions suivantes, laquelle (lesquelles) peut (peuvent) s'accompagner d’un déficit en vitamine K ?
  1. A - Gastrectomie
  2. B - Malabsorption digestive sévère
  3. C - Obstruction chronique des voies biliaires
  4. D - 3*TM trimestre de grossesse, en l’absence de substitution
  5. E - Nouveau-né, en l’absence de substitution
Question n°50 - Réponse multiple
Parmi les principes actifs suivants, lequel (lesquels) a (ont) une marge thérapeutique étroite ?
  1. A - Digoxine
  2. B - Ramipril
  3. C - Tacrolimus
  4. D - Carbamazépine
  5. E - Propranolol
Question n°51 - Réponse multiple
Parmi les propositions suivantes concernant les risques microbiologiques liés à I'eau destinée à la consommation humaine, laquelle (lesquelles) est (sont) exacte(s) ?
  1. A - Les aérosols générés lors d’une douche sont impliqués dans la transmission de Legionella
  2. B - Les réserves d’eau à plus de 50 °C favorisent le développement de Legionella
  3. C - Un dépassement d’une valeur seuil pour E. coli est un facteur de risque de toxi-infections alimentaires collectives
  4. D - Les dépassements des limites de qualité microbiologique sont plus fréquemment observés en cas d’épisodes pluvieux intenses
  5. E - Une eau destinée à la consommation humaine contaminée par des eaux usées conduit à un risque accru d'exposition au virus de l’hépatite C
Question n°52 - Réponse multiple
Parmi les propositions suivantes concernant le caractère zwitterionique d'une fluoroquinolone à pH = 7,4, laquelle (lesquelles) est (sont) exacte(s) ?
  1. A - La fluoroquinolone est électriquement neutre
  2. B - La fluoroquinolone possède une charge positive et une charge négative
  3. C - La fluoroquinolone migre sous l’effet d’un champ électrique
  4. D - La fluoroquinolone peut former une paire d'ions avec un contre-ion cationique
  5. E - La fluoroquinolone peut former une paire d’ions avec un contre-ion anionique
Question n°53 - Réponse multiple
Parmi les propositions suivantes, laquelle (lesquelles) permet (permettent) d’orienter une politique vaccinale ?
  1. A - Les vaccins disposant d’une autorisation de mise sur le marché
  2. B - Les données épidémiologiques des maladies pouvant bénéficier d’une couverture vaccinale
  3. C - Les modalités de transmission de la maladie ciblée par la vaccination
  4. D - Les recommandations vaccinales internationales de l’Organisation Mondiale de la Santé (OMS)
  5. E - L’identification de groupes particulièrement vulnérables au sein d’une population
Question n°54 - Réponse multiple
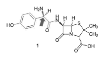
Parmi les propositions suivantes concernant la structure 1 ci-dessous, laquelle (lesquelles) est (sont) exacte(s) ?
  1. A - Elle contient une fonction aldéhyde
  2. B - Elle contient une fonction phénol
  3. C - Elle est sous forme d’un zwitterion au pH physiologique
  4. D - Le carbone asymétrique indiqué par la flèche est de configuration Rectus (R)
  5. E - Elle contient une fonction lactame
Question n°55 - Réponse multiple
Parmi les propositions suivantes concernant les mutations faux sens, laquelle (lesquelles) est (sont) exacte(s) ?
  1. A - Elles entraînent le remplacement d’un acide aminé par un codon stop
  2. B - Elles entraînent le remplacement d’un acide aminé par un autre acide aminé
  3. C - Elles sont toujours pathogènes
  4. D - Elles peuvent être responsables d’un gain de fonction
  5. E - Elles peuvent être responsables d’une perte de fonction
Question n°56 - Réponse multiple
Parmi les propositions suivantes concernant les études non cliniques requises pour une AMM, laquelle (lesquelles) est (sont) exacte(s) ?
  1. A - Une étude de cancérogénèse est obligatoire pour tout médicament administré par voie topique
  2. B - Une étude de fertilité et de développement embryonnaire précoce est requise avant tout essai clinique
  3. C - Un test du micronoyau sur érythrocytes de mammifères est un test obligatoire dans l’évaluation de la génotoxicité
  4. D - Un test de toxicité réitérée est réalisé chez deux espèces de rongeurs
  5. E - Les études de reprotoxicité peuvent être effectuées sur œufs de poules
Question n°57 - Réponse multiple
Parmi les propositions suivantes, laquelle (lesquelles) est (sont) sont exacte(s) ? La courbe de saturation de l'hémoglobine en oxygène (pourcentage de saturation en O en fonction de la pression partielle en O») est déplacée vers la droite par
  1. A - Une augmentation de la pression partielle en CO2
  2. B - Une augmentation de la concentration en 2,3-DPG (2,3-diphosphoglycérate)
  3. C - Une augmentation du pH
  4. D - Une augmentation de la température
  5. E - Une augmentation de la concentration en ATP
Question n°58 - Réponse multiple
Parmi les propositions suivantes concernant le principe actif ci-dessous, laquelle (lesquelles) est (sont) exacte(s) ?
  1. A - Le para-aminophénol est un de ses métabolites
  2. B - C’est la N-acétyl-p-benzoquinone imine
  3. C - 1l a une activité anti-inflammatoire
  4. D - Sa fonction phénolique permet une sulfoconjugaison
  5. E - Il est métabolisé par le cytochrome P450
Question n°59 - Réponse multiple
Parmi les parasitoses suivantes, laquelle (lesquelles) peut (peuvent) être diagnostiquée(s) sur I'observation du parasite adulte spontanément éliminé ?
  1. A - Bilharziose
  2. B - Oxyurose
  3. C - Tæniasis
  4. D - Fasciolose
  5. E - Anguillulose
Question n°60 - Réponse multiple
Parmi les étiologies suivantes, corpusculaire ? laquelle (lesquelles) peut (peuvent)
  1. A - La maladie hémolytique du nouveau-né
  2. B - La sphérocytose héréditaire
  3. C - Le déficit en glucose-6-phosphate déshydrogénase
  4. D - La drépanocytose
  5. E - Une transfusion d’un concentré de globules rouges incompatible être responsable(s) d’hémolyse
1 : D 31 : A D
2 : B 32 : B C E
3 : D 33 : B D
4 : B 34 : A B E
5 : D 35 : B C D
6 : D 36 : A B C E
7 : D 37 : C D
8 : C 38 : A B C D E
9 : C 39 : A D
10 : A 40 : B D E
11 : A B D 41 : B C D E
12 : A B C E 42 : A B C E
13 : C D E 43 : B D
14 : D 44 : B C E
15 : A E 45 : A C D E
16 : D E 46 : A B C D
17 : A B 47 : B C D E
18 : B C E 48 : B D E
19 : C E 49 : B C E
20 : B D 50 : A C D
21 : A E 51 : A C D
22 : A C D E 52 : A B D E
23 : A B E 53 : A B C D E
24 : A D 54 : B C D E
25 : A B C D 55 : B D E
26 : A D E 56 : C
27 : A B C D E 57 : A B D
28 : - Question neutralisée 58 : A D E
29 : A B 59 : B C
30 : C D 60 : B C D